|
Homepage Hans-Jürgen Gäbel Aufenthalt in Konstanz vom 12.06.2009 - 31.05.2011 Wahlkreis 56 (III) |
| Startseite / Inhaltsverzeichnis / Vorige Seite / Nächste Seite |
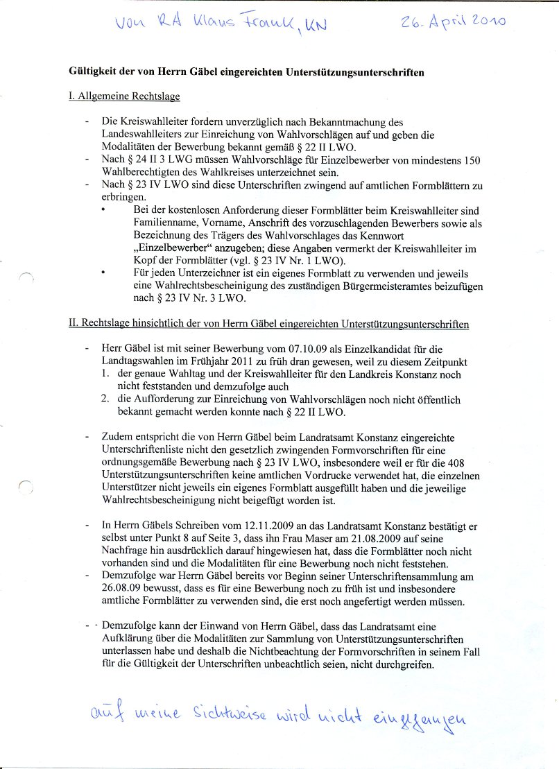
Aktennotiz vom 17. Dezember 2009![]() ![]() ![]() ![]() Schreiben an den SÜDKURIER vom 07. Januar 2010 ![]() SÜDKURIER-Artikel vom 12. Januar 2010 ![]() SÜDKURIER-Artikel im Internet ![]() Rechtliche Stellungnahme durch RA-Kanzlei Klaus Frank, Konstanz ![]() Schreiben des Landratsamts Konstanz vom 08. Juni 2010 ![]() |
| Ob es sich wohl wirklich noch nicht ins Landratsamt herumgesprochen hatte, daß ich in Stuttgart kandidieren würde und die nötigen Unterstützungsunterschriften dort schon zusammen hatte? |
Schreiben an den SÜDKURIER vom 18. Juni 2010![]() Bestätigung des Statistischen Amtes Stuttgart vom 15. Juni 2010 ![]() |
| Startseite / Inhaltsverzeichnis / Vorige Seite / Nächste Seite / SEITENANFANG |