| Homepage Hans-Jürgen Gäbel  Insasse der BRD  - 6g - Finanzsituation VII |
| Startseite / Inhaltsverzeichnis / Vorige Seite / Nächste Seite |
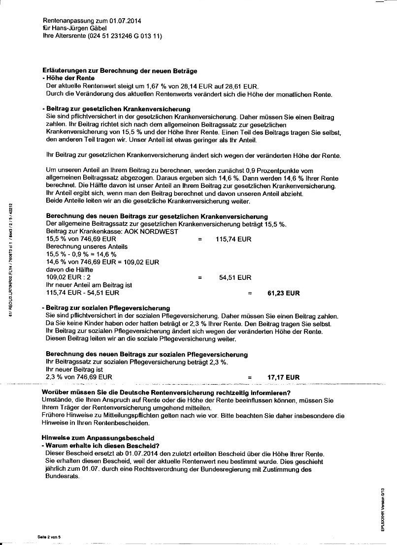
Wohngeldbescheid vom 01. Juli 2014![]() ![]() ![]() ![]() ![]() Schreiben Deutsche Rentenversicherung betreffend "Rentenanpassung zum 01.07.2014" ![]() ![]() ![]() ![]() ![]() Schreiben der Stadt Stuttgart vom 30. September 2014 ![]() Antrag auf "Bonuscard 2015" ![]() ![]() Wohngeldantrag vom 05. November 2014 ![]() ![]() ![]() Fortsetzung Wohngeldantrag vom 05. November 2014 Nächste Seite |
| Startseite / Inhaltsverzeichnis / Vorige Seite / Nächste Seite / SEITENANFANG |