| Homepage Hans-Jürgen Gäbel  Insasse der BRD  - 6n - Finanzsituation XIV |
| Startseite / Inhaltsverzeichnis / Vorige Seite / Nächste Seite |
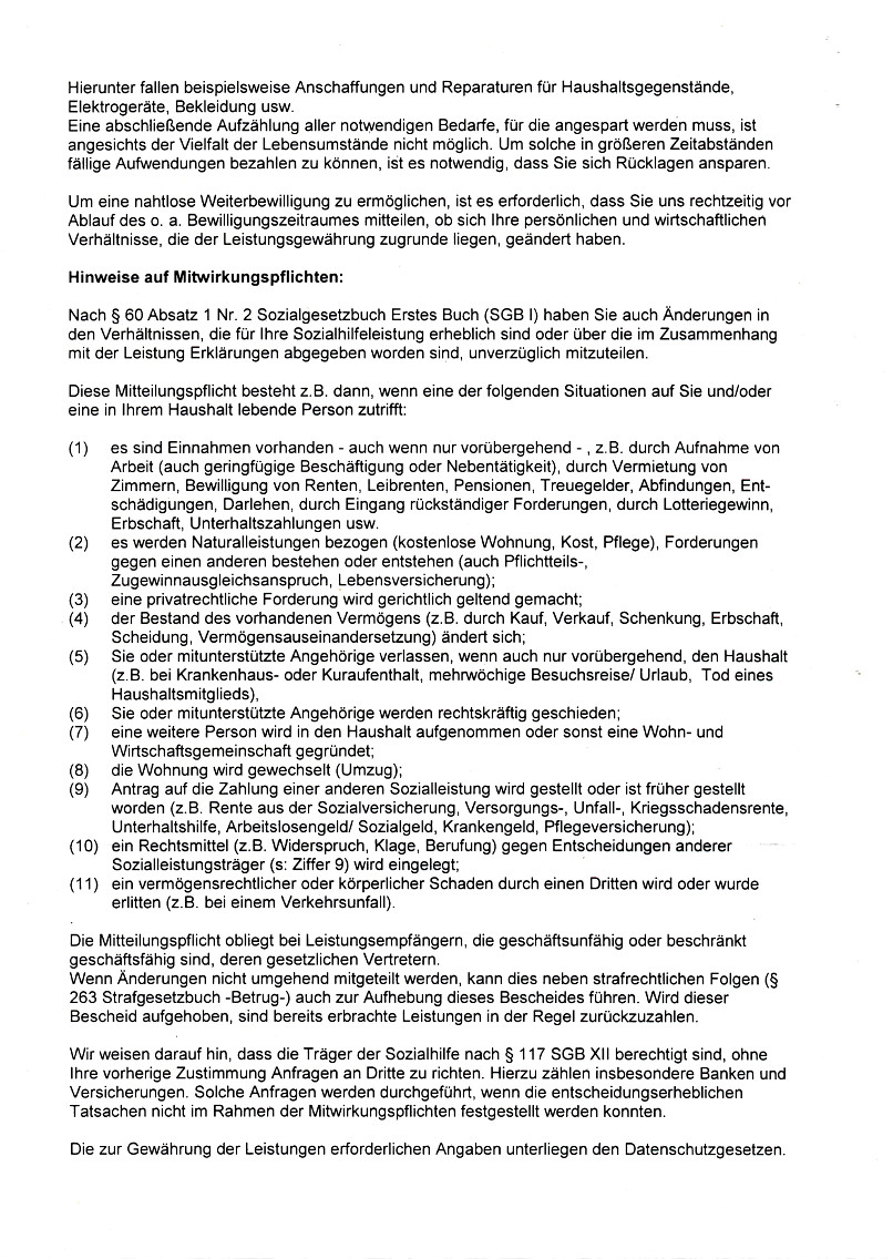
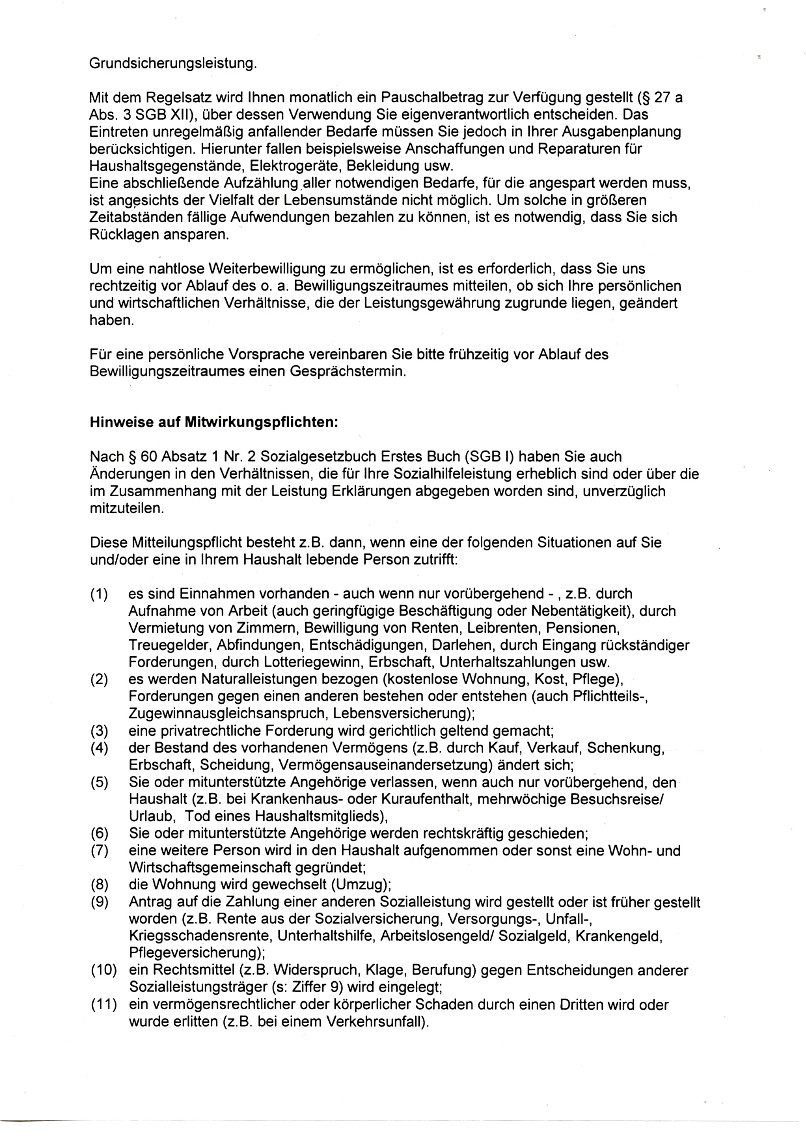
SchreibenI Bezirksamt Feuerbach vom 18. Dezember 2015 wegen Grundsicherung![]() ![]() ![]() ![]() ![]() SchreibenII Bezirksamt Feuerbach vom 18. Dezember 2015 wegen Grundsicherung ![]() ![]() ![]() ![]() Schreiben Bezirksamt Feuerbach vom 04. April 2016 wegen Folgeantrag Grundsicherung ![]() Folgeantrag für die Grundsicherung (datiert auf den 04. April 2016) ![]() Änderungsbescheid vom 12. April 2016 wegen Grundsicherung ![]() ![]() ![]() ![]() Bescheid vom 12. April 2016 wegen Grundsicherung ![]() ![]() ![]() ![]() |
| Startseite / Inhaltsverzeichnis / Vorige Seite / Nächste Seite / SEITENANFANG |